第十六章 沉积相概念及综合分类
第一节 沉积相概念
一、沉积相的概念及相序定律
(一) 沉积相的概念
相这一概念最早由丹麦地质学家斯丹诺 ( Steno,1669)引入地质文献,并认为相是在一定地质时期内地表某一部分的全貌。但是,真正在沉积学领域赋予沉积相概念的还是瑞士地质学家格列斯利 ( Gressly,1838)。他认为: “相是沉积物变化的总和,它表现为这种或那种岩性的、地质的或古生物的差异。”自此以后,相的概念逐渐为地质界所接受和引用,同时,也成为重要的争论议题。
20世纪初至近几十年来,相的概念随着沉积岩石学、古地理学的发展而广为流行,对相的概念的理解也随之形成了不同的观点和学派。一种观点认为相是地层的概念,把相简单地看作“地层的横向变化”; 另一种观点把相理解为环境的同义语,认为相即环境; 还有一种观点认为相是岩石特征和古生物特征的总和。
鲁欣 (1953) 将相定义为“相就是能表明沉积条件的岩性特征和古生物特征的有规律综合”。塞利 ( Selly,1970)提出:应该从沉积岩体几何形态、岩石学特征、古生物特征、沉积物构造特征和古流向特征来限定相或沉积相。因此,相是沉积物形成条件的物质表现。
油气田勘探与其他沉积矿产勘探事业的飞速发展促进了相的研究,使人们对相这一概念的认识更加深入。目前较为普遍的看法是,相的概念中应包含沉积环境和沉积特征这两个方面的内容,而不应当把相简单地理解为环境,更不应当把它与地层概念相混淆。
鉴于上述原因,本教材把相定义为沉积环境及在该环境中形成的沉积岩 (物) 特征的综合。这里所指的沉积环境是由下述一系列环境条件(要素) 所组成:(1) 自然地理条件,包括海、陆、河、湖、沼泽、冰川、沙漠等的分布及地势的高低; (2) 气候条件,包括气候的冷、热、干旱、潮湿; (3) 构造条件,包括大地构造背景及沉积盆地的隆起与坳陷; (4) 沉积介质的物理条件,包括介质的性质 (如水、风、冰川、清水、浑水、浊流)、运动方式和能量大小以及水介质的温度和深度; (5) 介质的地球化学条件,包括介质的氧化还原电位( Eh)、酸碱度(pH)以及介质的含盐度。上述条件的综合即为沉积环境。
我们所指的沉积岩特征包括岩性特征 (如岩石的颜色、物质成分、结构、构造、岩石类型及其组合)、古生物特征(如生物的种属和生态) 以及地球化学和地球物理特征。沉积岩特征的这些要素是相应各种环境条件的物质记录,通常也称为相标志。
综上所述,沉积环境是形成沉积岩特征的决定因素,沉积岩特征则是沉积环境的物质表现。换句话说,前者是形成后者的基本原因,后者乃是前者发展变化的必然结果,这就是相的概念中沉积环境和沉积岩特征的辩证关系。
与相的概念同时存在的还有沉积相、岩相等这些流行的术语。我们认为,在沉积学中相就是沉积相,两者是同义语。岩相是一定沉积环境中形成的岩石或岩石组合,它是沉积相的主要组成部分。岩相和沉积相是从属关系而不是同义关系,为了突出沉积环境中的古地理条件和沉积物特征中的岩性特征,通常把岩相和古地理这两个术语联系在一起,以表示沉积相中最重要和最本质的内容。
(二) 相序定律
相序是指从一种相逐渐过渡到另外一种相的一系列相的关系或相的有序组合。相序定律,也称为沃尔索相律 ( Walther,1894),是指“只有那些没有间断的,现在能看到的相互邻接的相和相区,才能重叠在一起”。换句话说,只有在横向上成因相近且紧密相邻而发育着的相,才能在垂向上依次叠覆出现而没有间断 (图16–1)。这个相序定律指出,在整个垂向沉积层序中产出的相,是在横向相邻的沉积环境中形成的; 同时,垂向接触的相必须是地理上相邻环境的产物,并且垂向序列中没有明显的间断。显然,相序定律为人们利用现代沉积环境特征去研究古代沉积物垂向序列提供了良好的比较沉积学基本原理。

以相序递变规律为基础,以现代沉积环境和沉积物特征的研究为依据,从大量的研究实例中,对沉积相的发育和演化加以高度的概括,归纳出带有普遍意义的沉积相的空间组合形式,称为相模式。相模式和相标志是恢复和再现古代沉积环境的两个重要手段和钥匙。
沉积模式或相模式就是根据现代沉积环境及古代沉积相研究,对于古代沉积作用机理所作出的一种成因解释模型。沃克 ( Walker,1976)认为,沉积模式就是“删去其地方性的细节,而保留其纯粹本质的东西”。所以,沉积模式就是对沉积环境及其沉积产物、沉积过程的高度概括,它应具有广泛的概括性和代表性。沃克 ( Walker,1976)认为,标准相模式应起到以下4个方面的作用:
(1) 从比较的目的来说,它必须起到一个标准的作用。
(2) 对于进一步观察来说,它必须起到提纲和指南的作用。
(3) 对于新的研究地区来说,它必须起到预测的作用。
(4) 对于所代表的环境或系统的水力学解释来说,它必须起到一个基础的作用。
可以采用不同的表示方法来说明沉积相模式 ( Reading,1978):
(1) 直观模式:以简化的图式直观地表现出沉积环境、沉积作用过程和最终沉积产物之间的复杂关系。
(2) 实际模式:以现代具有代表性的地区或古代沉积岩层的相序为基础而建立的模式。
(3) 动态模式:能表示形成特征沉积体的沉积作用全过程的沉积模式,例如曲流河点沙坝向上变细序列模式。
(4) 静态模式:表示在一个特定时间的沉积层内沉积环境特征和沉积物的相变规律,用该模式能预测物源区位置和古沉积环境。
(5) 比拟实验模式:以模拟实验获得的沉积特征为基础而制作的沉积模式。
(6) 数学模式:以数学方法模拟复杂的地质作用过程的模式。
二、沉积相序研究方法
通过研究岩性、沉积构造序列及其他相标志,将复杂地层序列简化为能够反映沉积物沉积规律的简单形式,即沉积相模式,这对于沉积环境分析和古地理恢复均是十分有意义的。通常,建立沉积相模式的方法是对地层剖面中的各种沉积相标志及其组合进行归纳总结,逻辑性确定出一种简化的沉积序列。然而,由于不同学者思维方式和观察侧重点的差异,有时对同一个地层剖面会归纳出不同的沉积相序。为了更好地发挥沉积相模式在沉积相研究中的作用,人们已认识到应该使用科学方法来确定沉积相序。统计学方法为确定沉积相序开辟了一条新路,它特别适用于建立具丰富沉积标志的韵律性地层剖面的沉积相序。里丁 ( Read- ing) 和沃克 ( Walker, 1965) 较早使用了统计学方法来确定不同沉积相的组合关系, 后来许多学者发展了统计学在沉积相序研究中的应用,将概率统计学的马尔柯夫链法用于沉积相序研究。下面扼要介绍马尔柯夫链法在建立沉积相序中的应用。
第一步,仔细分析所观察的地层剖面或岩心剖面,依据各种相标志,确定出具有不同沉积特征的相及其相互关系,建立相变关系图 (图16-2),说明相变规律。

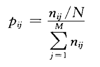
第二步是统计出相变总数及某一种相变为另一种相的次数,建立相变数矩阵。根据马尔柯夫链矩阵定义,i相转变为j 相的概率 pij为:
(16-1)
式中 N————相变总数;
nij———i 相转变为j 相的次数;
M———i相转变为j, j+1, j+2, ……相的总次数。
然后根据式 (16–1) 求出实际观察的相变概率 (表16–1)。
表16-1 相变关系及相变概率表
| (一) 观察到的相变数 | ||||||||
|---|---|---|---|---|---|---|---|---|
| SS | A | B | C | D | E | F | G | |
| SS | 12 | 2 | 1 | |||||
| A | 2 | 6 | 3 | 1 | 1 | |||
| B | 4 | 1 | 2 | 2 | 1 | 1 | 2 | |
| C | 2 | 4 | 1 | |||||
| D | 1 | 2 | ||||||
| E | 1 | 1 | ||||||
| F | 2 | 1 | ||||||
| G | 5 | |||||||
| (二) 观察到的转移概率 | ||||||||
| SS | A | B | C | D | E | F | G | |
| SS | 0.800 | 0.133 | 0.067 | |||||
| A | 0.154 | 0.462 | 0.231 | 0.077 | 0.077 | |||
| B | 0.308 | 0.077 | 0.154 | 0.154 | 0.077 | 0.077 | 0.154 | |
| C | 0.286 | 0.571 | 0.143 | |||||
| D | 0.333 | 0.667 | ||||||
| E | 0.500 | 0.500 | ||||||
| F | 0.667 | 0.333 | ||||||
| G | 1.000 | |||||||
| (三) 随机层序的转移概率 | ||||||||
| SS | A | B | C | D | E | F | G | |
| SS | 0.320 | 0.245 | 0.151 | 0.075 | 0.038 | 0.075 | 0.094 | |
| A | 0.280 | 0.260 | 0.160 | 0.080 | 0.040 | 0.080 | 0.100 | |
| B | 0.259 | 0.315 | 0.148 | 0.074 | 0.037 | 0.074 | 0.093 | |
| C | 0.273 | 0.288 | 0.220 | 0.068 | 0.034 | 0.068 | 0.085 | |
| D | 0.222 | 0.270 | 0.206 | 0.217 | 0.032 | 0.063 | 0.079 | |
| E | 0.215 | 0.262 | 0.200 | 0.123 | 0.062 | 0.062 | 0.077 | |
| F | 0.222 | 0.270 | 0.206 | 0.127 | 0.063 | 0.032 | 0.079 | |
| G | 0.226 | 0.274 | 0.210 | 0.129 | 0.065 | 0.032 | 0.065 |
| (四) 观察到的和随机的转移概率之差 | ||||||||
|---|---|---|---|---|---|---|---|---|
| SS | A | B | c | D | E | F | G | |
| SS | +0.480 | -0.112 | -0.084 | -0.075 | -0.038 | -0.075 | -0.094 | |
| A | -0.126 | +0.202 | +0.071 | -0.080 | +0.037 | -0.080 | -0.023 | |
| B | +0.049 | -0.238 | +0.006 | +0.080 | +0.040 | +0.003 | +0.061 | |
| C | -0.237 | -0.002 | +0.351 | +0.075 | -0.034 | -0.068 | -0.085 | |
| D | +0.111 | -0.270 | -0.206 | -0.217 | -0.032 | +0.604 | -0.079 | |
| E | -0.215 | -0.262 | -0.200 | +0.377 | -0.062 | +0.438 | -0.077 | |
| F | +0.445 | -0.270 | -0.206 | -0.127 | -0.063 | -0.032 | +0.254 | |
| G | +0.774 | -0.274 | -0.210 | -0.129 | -0.065 | -0.032 | -0.065 |
第三步是根据所有相变均是随机的假设,求出随机序列的相变概率 rij (表16-1),即
式中 nᵢ, nⱼ———i、j 相出现的次数;
N———相变总数。
公式 (16–2) 既适用于连续相序,又适用于含有断层以及被掩盖部分层段的相序。
第四步是求出观察相变概率与随机相变概率的差矩阵,即 pij-rij (表16–1)。显然,此差值可能范围是-1~1。若差值为正值,意味着观察到的相变比随机相变常见; 差值为负值,意味着观察到的相变比随机相变少见。
第五步是选取观察相变概率与随机相变概率差值为正值的某一个数作为门槛值,舍去差值小于门槛值的实际观察相变,做出差值大于门槛值的简化相序图 (图16-3)。

最后根据第五步做出的简化相序图中表示的相变次序以及相之间接触关系,考虑地层厚度,即可做出反映地层剖面沉积规律的沉积序列。
第二节 沉积相综合分类
一、分类现状和原则
1950年以后,沉积学和岩相古地理学进入了现代研究阶段,大量高水平的沉积岩石学专著陆续问世。与此同时,开展了大规模的现代沉积研究,这为人们采用比较沉积学方法、“将今论古、古今对比”的现实主义原则去研究古代沉积相类型以及进行沉积相划分提供了良好基础。关于沉积相分类,人们主要依据对现代沉积环境的划分和理解,根据沉积岩原始物质的不同,分为碎屑岩沉积相和碳酸盐岩沉积相。前者以砂、粉砂、粘土等碎屑物质为主,沉积介质以浑水为特征,岩性以碎屑岩为主; 后者以化学溶解物质 (尤以碳酸盐物质)为主,介质以清水为特征,岩性以碳酸盐岩为主。人们也考虑沉积环境,将沉积相划分为陆相、海陆过渡相和海相。近年来,随着碳酸盐岩油气田的不断发现,碳酸盐岩沉积相的研究也日趋重要,研究成果和资料也日趋丰富,因此,我们把这两类沉积相分开叙述。本章重点介绍碎屑岩沉积相,碳酸盐岩沉积相将在第二十五章里专门论述。
沉积相的划分应该依据自然地理条件或地貌特征及沉积物综合特征,并且要遵循简单易行、便于记忆和理解的原则,对沉积相进行划分。目前,尽管不同学者对沉积相划分还存在着分歧意见,但人们总是先将沉积相划分成3个组,即陆相组、海相组和海陆过渡相组。然后依据陆相、海相和海陆交互相中的次级环境及沉积物特征,确定沉积相类型 (表16-2),如河流相、三角洲相、滨海相。进而,还可根据各相类型中亚环境、微环境及相应沉积物特征,确定出对应的沉积亚相和微相,如三角洲前缘亚相、三角洲前缘河口沙坝微相等。
二、分类方案
本书依据前述沉积相划分原则,首先将沉积相划分成陆相组、海相组和海陆过渡相组(图16-4, 表16-2), 然后再作相关沉积相的划分。

表16-2 沉积相的分类
| 相组 | 陆相组 | 海相组 | 海陆过渡相组 |
|---|---|---|---|
| 相 | (1) 残积相 (2) 坡积—坠积相 (3) 山麓-洪积相 (4) 河流相 (5) 湖泊相 (6) 沼泽相 (7) 沙漠相 (8) 冰川相 | (1) 滨岸相 (2) 浅海陆棚相 (3) 半深海相 (4) 深海相 | (1) 三角洲相 (2) 潟湖相 (3) 障壁岛相 (4) 潮坪相 (5) 河口湾相 |
对沉积相的划分,目前尚无统一的意见。有人将潟湖相、障壁岛相、潮坪相作为有障壁的海岸相归于海相组,也有人将滨岸相和潟湖相、障壁岛相、潮坪相一起归于海陆过渡相组。我们考虑到这些环境的水动力状况及沉积特征上的差异,将滨岸相归于海相组,把潟湖相、障壁岛相、潮坪相归于海陆过渡相组。
重力流沉积可出现于海相或陆相环境,故在表16-2中未列出。
沉积相研究的直接目的是恢复古地理,欲达到此目的,就需用“将今论古”的现实主义原则和比较岩石学方法,即以现代自然地理面貌等环境条件和沉积特征作借鉴,进行比较和推断。诚然,古今自然地理及其他环境条件可能不尽相同,“将今论古”不能生搬硬套,但其沉积环境的总轮廓和总特征毕竟有许多共同之处,故现实主义原则和比较岩石学方法在一定条件下仍不失为一个有效的方法。鉴于此,在以后各节论述沉积相的类型时,将根据“今为古用”的原则,引用一些现代沉积的资料。
沉积相的类型繁多,由于教材的篇幅所限,不能一一介绍。本着紧密结合专业和少而精的原则,本书将重点论述与油气勘探开发关系密切的沉积相类型及其相关沉积特征。
